Abstract

RNA polymerase I (Pol I) transcription of the ribosomal RNA (rRNA) genes, a rate-limiting step for growth and proliferation, is a highly regulated process downstream of many oncogenic pathways. Dysregulation of ribosome biogenesis is a feature of numerous cancers ( Bywater Nat Rev 2013 ).
CX-5461, a selective inhibitor of Pol I transcription (Senhwa Biosciences, San Diego, USA), has ~200-fold selectivity for inhibition of Pol I over Pol II ( Drygin Can Res 2011 ). Inhibition of Pol I transcription by CX-5461 induces a p53 independent nucleolar stress response and a nucleolar specific DNA damage response ( Quin Oncotarget 2016 ). CX-5461 provides survival benefit in mouse models of lymphoma, myeloid leukemia and myeloma ( Hein Blood 2017) .
Methods: We initiated a first in class, first in human, phase I dose escalation study of CX-5461 in adult patients with advanced hematologic cancers, with no standard therapeutic options, adequate organ function and performance status to determine maximum tolerated dose (MTD), safety, pharmacokinetic (PK) profile and antitumor activity.
CX-5461 was administered by 1 hour IV infusion 3 weekly. Dose escalations were planned in 7 cohorts (25 - 450 mg/m2), in an accelerated design, with change to a 3+3 design based on predefined toxicity criteria.
Inhibition of Pol I transcription rate was measured via RNA-FISH, quantitating the abundance of 47S pre-rRNA levels in peripheral blood mononuclear cells (PBMC) and tumor tissue, at various time points following cycle 1. Skin biopsies from normal skin and rash areas were studied after the observation of photosensitivity in patients in cohort 1.
Results: 16 patients (6 myeloma, 2 Hodgkin lymphoma, 6 Non Hodgkin lymphoma (NHL), 1 TPLL, 1 CLL) were treated in 5 cohorts (25 - 250 mg/ m2), for a median of 2 (1 - 18) cycles. The MTD was 170 mg/ m2. The dose limiting toxicity was palmar plantar erythrodysaesthesia in 2 patients at 250 mg/ m2. One of these patients continued treatment for 17 further cycles at 170 mg/ m2. Eight patients (50%) had grade </=3 treatment related photosensitivity across all dose cohorts, this did not recur on re-exposure with appropriate protection. No other grade 3+ treatment related adverse events were observed.
The average terminal half-life (T1/2) showed an increasing trend with dose escalation, in a profile consistent with enterohepatic recycling. The maximum T1/2 noted was 92 hours in cohort 5. Linear behaviors were generally observed in Cmax and AUC exposure parameters.
The best response seen was an excellent prolonged partial response in 1 patient with anaplastic large cell lymphoma (18 cycles) and stable disease in 3 patients with myeloma (4 - 6 cycles) and 2 with diffuse large B-cell lymphoma (4 - 16 cycles). Clinical and radiologic response was noted in an area of high grade transformation in a patient with cutaneous T-Cell lymphoma (CTCL).
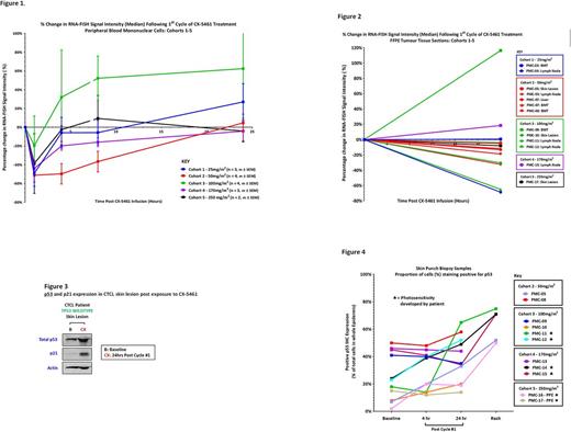
Consistent, significant decreases in Pol I transcription were observed at 1hr post-infusion in PBMC. The average level of inhibition was 49.0% (22.9 - 69.9%), 51.1% (34.4 - 64.4%), 19.6% (-72.0 - 69.7%), 47.3% (46.5 - 48.0%) and 38.6% (6.8 - 70.4%) in cohorts 1 - 5 respectively (Fig 1). On target activity at 24hrs was observed in most tumor biopsies, where the level of inhibition was variable (10/13; median range: 4.8 - 68.9 %) (Fig 2).
Targeted exon sequencing determined TP53 mutational status in selected patients (n=13). 4 patients with mutations experienced early disease progression. In TP53 wildtype patients, 4 achieved periods of stable disease. In a CTCL patient, stabilization of p53 protein levels and increase in the p53 target gene p21 occurred in an area of high grade transformation where response was observed (Fig 3).
A spongiotic or parakeratosis reaction pattern was observed in biopsies from the photosensitivity rash, with increase in p53 IHC expression in the epidermis of normal skin following CX-5461 exposure (Fig 4).
Conclusion: Our first in human study of the Pol I inhibitor CX-5461, has determined a MTD of 170 mg/ m2 every 3 weeks, with a predictable PK profile. The drug is well tolerated and compatible with a prolonged duration of treatment. Photosensitivity can be a significant adverse event independent of dose, which is manageable by careful attention to preventive measures. Durable periods of response or stability have been noted in heavily pretreated chemorefractory patients with NHL and myeloma. Further studies to explore weekly dosing regimens are planned.
Khot: Celgene: Consultancy; Janssen: Consultancy; Amgen: Other: Travel Grant. Lim: Senhwa Biosciences: Consultancy, Equity Ownership. Soong: Senwa Biosciences: Employment, Equity Ownership. Harrison: Celgene: Consultancy, Research Funding, Speakers Bureau.
Author notes
Asterisk with author names denotes non-ASH members.

This icon denotes a clinically relevant abstract
